Second Law of Motion When a push meets mass, speed takes a new path.

Kick the Ball

Football being kicked

Force decides how fast the ball moves

Kicking a football is a push, or force, on the ball.

The bigger the force, the greater the change in the ball’s speed.

Key Points:

  • Strong kick → big force → ball accelerates quickly.
  • Gentle tap → small force → ball accelerates slowly.
  • More force means a larger change in motion.

Momentum

Momentum

Momentum is the quantity of motion an object has. It equals mass times velocity: \(p = m \times v\).

Which two factors decide an object’s momentum?

Formula for Momentum

\[p = m v\]

Variable Definitions

\(p\) Momentum of the body (kg·m/s)
\(m\) Mass of the body (kg)
\(v\) Velocity of the body (m/s)

Applications

Crash analysis

Engineers compute momentum to design safer vehicles.

Space travel

Rocket scientists track momentum to plan thrust and orbits.

Newton’s Second Law

Statement of the Law

The rate of change of momentum of an object is directly proportional to the applied force and acts in the force’s direction. For constant mass, \(F = m\,a\).

Key Characteristics:

  • Relates force \(F\), mass \(m\) and acceleration \(a\).
  • Greater force produces greater acceleration for the same mass.
  • Acceleration occurs in the same direction as the applied force.

Example:

Pushing a trolley harder makes it speed up faster, illustrating \(F = m\,a\).

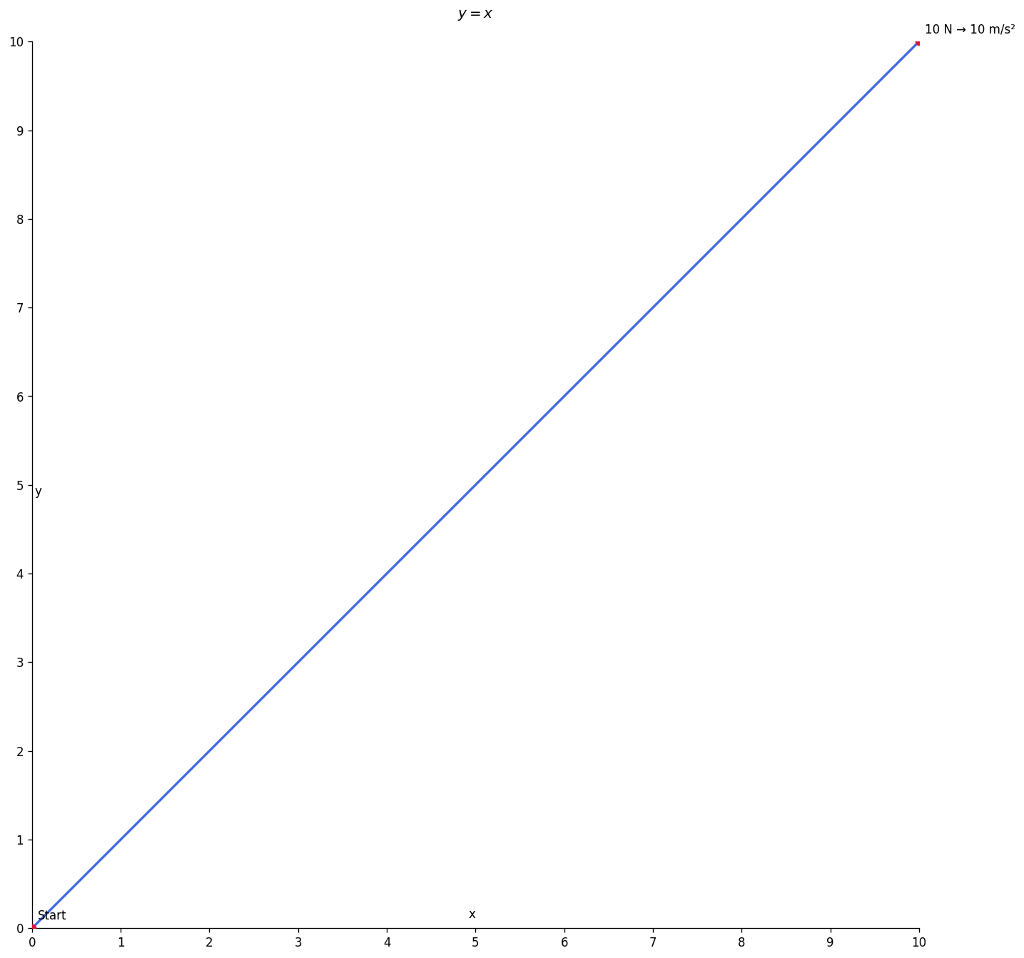
Force vs Acceleration

Force vs Acceleration graph

Reading the straight line

Look at the graph for a 1 kg cart.

Every point lies on one straight, rising line.

This shows force and acceleration rise together.

Key Points:

  • Straight line ⇒ \(F \propto a\) (linear relation).
  • Slope equals mass; here slope = 1 kg.
  • Doubling \(F\) doubles \(a\).

Quick Check

Question

When you pull a toy car to the right with a string, what is the direction of its acceleration?

1
To the right
2
To the left
3
Upwards
4
No acceleration

Hint:

Acceleration points in the same direction as the net force applied.

Key Takeaways

Recap: Momentum is mass multiplied by velocity.

Force causes a change in momentum—Newton’s Second Law.

With constant mass, \(F = m \times a\).

Final thought: Acceleration points in the direction of the applied force.

Thank You!

We hope you found this lesson informative and engaging.