Kinetic Theory Kick-off See the unseen dance of gas particles all around you.

Atomic Hypothesis

Molecular Nature of Matter

All matter consists of tiny atoms that are always moving. They attract at small separations and repel when squeezed together.

Core idea: constant atomic motion and forces explain the behaviour of all substances.

Gas in Motion

Molecular motion explains why gases fill any shape and flow easily.

Random, fast molecules collide with walls → pressure
Diagram: Widely spaced molecules travel in straight lines and bounce elastically off walls and each other.

Key Ideas

Gas behaviour comes from how its molecules move.

  • Molecules are ~10 times farther apart than in solids—almost empty space.
  • They move randomly at high speeds in straight lines.
  • Elastic collisions with walls create pressure and let gas fill any container shape.

Tip: Higher temperature → faster molecules → greater collision rate and higher pressure.

Ideal Gas Law

\[P\,V = \mu R T\]

Variable Definitions

P Pressure (Pa)
V Volume (m³)
µ Amount of gas (mol)
R Gas constant 8.314 J mol⁻¹ K⁻¹
T Temperature (K)

Applications

Predict Volume Change

Estimate how a gas expands when heated at constant pressure.

Find Moles of Gas

Use measured P, V and T to calculate µ in experiments.

Design Pressurised Tanks

Determine safe storage pressure for a given temperature.

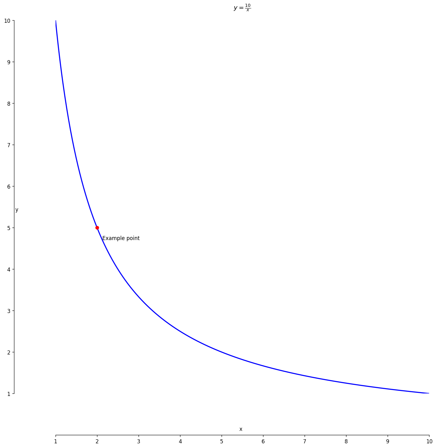
Boyle’s Law Curve

At constant temperature, pressure decreases as volume increases.

Boyle’s Law curve showing inverse relation of pressure and volume
Hyperbola for the gas law \(PV = k\) (fixed \(T\)).

Reading the graph

The curve visualises Boyle’s gas law and its inverse \(P\)-\(V\) link.

  • Gas law: \(P \propto \frac{1}{V}\) when temperature is constant.
  • Graphical view: a downward-sloping hyperbola.
  • Move along the curve: doubling \(V\) halves \(P\).

Tip: The product \(PV\) stays constant for any point on the curve.

Pressure from Motion

We derive \(P = \frac{1}{3} n m v^{2}\) by translating molecular wall hits into measurable pressure.

1

Momentum kick per hit

A molecule mass \(m\) striking the wall reverses its \(v_x\): change in momentum \(\Delta p = 2 m v_x\).

2

Hits per second

Number density \(n\) gives \(n A L\) molecules. Half move toward the wall, so hits per second \(=\frac{1}{2} n A v_x\).

3

Force to pressure

Force = \(\Delta p \times\) hit rate \(= n m v_x^{2} A\). Divide by area and average directions to get \(P = \frac{1}{3} n m v^{2}\).

Check Your Thinking

Question

Which statement best explains why a gas exerts pressure on the walls of its container?

1
Gas molecules carry electric charge.
2
Molecules collide with the walls and rebound, changing momentum.
3
Gravity pushes gas molecules outward.
4
Gas molecules simply occupy a large volume.

Hint:

Focus on what happens during each molecular collision with the wall.

Key Takeaways – Recap

Matter is made of discrete atoms or molecules.

Gas particles move randomly and continuously in all directions.

\(PV = nRT\) links pressure, volume and temperature for a fixed amount of gas.

Microscopic motion explains pressure: \(P = \frac{1}{3} n m v^{2}\).

Boyle’s and Charles’ laws confirm kinetic theory experimentally.

Thank You!

We hope you found this lesson informative and engaging.