Cell: Living Unit Where microscopic power sparks every form of life.

What Is a Cell?

Cell

A cell is the smallest living unit able to exist independently and perform every vital function—growth, metabolism, response, and reproduction.

If a structure cannot grow, metabolise or reproduce on its own, can it truly be called a cell?

Cell Theory Path

1

Matthias Schleiden, 1838

All plant tissues consist of living units called cells.

2

Theodor Schwann, 1839

Applied the cell concept to animals and described the plasma membrane.

3

Rudolf Virchow, 1855

Declared “Omnis cellula e cellula” — every cell comes from another, defining cellular lineage.

Check Your Recall:

Which scientist introduced the principle that every cell arises from a pre-existing cell?

Cell Shapes Gallery

https://asset.sparkl.ac/pb/sparkl-vector-images/img_ncert/0V9Um7capbI3exKGxwaTs8UjxK7N3JRybBX73Ids.png

Hover over each drawing to reveal its name.

Shape Mirrors Function

Cells exhibit remarkable morphology diversity; each form is optimised for specific tasks.

Biconcave RBCs maximise gas exchange, whereas branching neurons extend reach for rapid signalling.

Consider how geometry modulates nutrient flow, diffusion distance, or signal speed.

Key Points:

  • Disc-shaped RBC: large surface area, swift O₂ exchange.
  • Long axon neuron: rapid electrical conduction over distance.
  • Microvilli cell: expanded membrane for nutrient absorption.

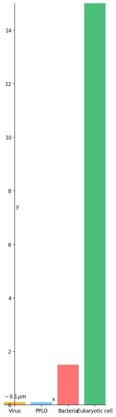
Sizing Up Cells

https://asset.sparkl.ac/pb/sparkl-vector-images/img_ncert/0HchvJeQ13KcSFOyxtzRRQ5XRnBPce5bm65K4gjF.png

Scale at a Glance

Biological structures cover a vast scale, from nanometres to millimetres.

A typical virus (~100 nm) is about 150 times smaller than an average human cell (~15 µm).

Such scale differences require microscopes with matching resolution.

Key Points:

  • Virus: ~0.1 µm diameter.
  • Human cell: ~15 µm diameter.
  • Light microscopes resolve ≈0.2 µm; electron microscopes ≈0.2 nm.

Two Cell Archetypes
Compartmentalisation unlocks complexity

Prokaryotic Cell

No membrane-bound nucleus
Circular DNA ± plasmids
70 S ribosomes free in cytosol
Minimal internal compartments

Eukaryotic Cell

True nucleus with double envelope
Linear chromosomal DNA
80 S cytosolic ribosomes (+70 S in organelles)
Extensive membrane-bound organelles

Key Similarities

Plasma membrane encloses cytoplasm
Ribosomes synthesise proteins
DNA stores hereditary information

Plant vs Animal Cells

https://asset.sparkl.ac/pb/sparkl-vector-images/img_ncert/myys9OSWumQT8FhseiTOGv4b68Qd1ecLQYjKPhxU.png

Unique organelles in two kingdoms

Kingdom Plantae cells thrive as autotrophs due to extra structures absent in Animalia.

Animal cells trade photosynthesis for rapid division, using organelles plants lack.

Key Points:

  • Cell wall (Plantae) – rigid cellulose layer for shape and protection.
  • Chloroplast (Plantae) – converts light into glucose via photosynthesis.
  • Large central vacuole (Plantae) – stores water, maintains turgor pressure.
  • Centrioles (Animalia) – organise spindle fibres for mitosis.

Organelle Match-Up

Practice: Drag each organelle onto its correct function to consolidate your memory.

Draggable Items

Mitochondria
Ribosome
Lysosome
Golgi
Chloroplast

Drop Zones

Protein synthesis

Photosynthesis

Energy (ATP)

Digestion

Packaging

Tip:

Recall each organelle’s classroom nickname to guide your match.

Fluid Mosaic Membrane

Fluid mosaic model of plasma membrane

Fluid mosaic view of a plasma membrane

Structure drives both stability and motion

Phospholipids self-assemble into a bilayer; their hydrophobic tails face inward, forming a water-tight, stable barrier.

Within this bilayer, lipids drift laterally and proteins float like movable piers, giving the membrane its fluid nature.

Key Points:

  • Cholesterol slips between phospholipids—loosen packing at low °C, stiffen at high °C.
  • Fluidity enables endocytosis, exocytosis and rapid signal complex formation.
  • Non-covalent hydrophobic forces hold the bilayer together, keeping it stable while allowing lateral movement.

Key Takeaways

Summary: Cells—Small But Mighty

Universal Unit

Every organism, from bacteria to humans, is built from one or more cells.

Cell Theory

Schleiden and Schwann showed plants and animals share the same cellular blueprint.

Form Fits Job

A cell’s shape and organelles adapt precisely to the task it performs.

Compartments = Control

Internal membranes create isolated micro-environments that enable complex reactions.

Fluid Mosaic Membrane

Lipid fluidity lets proteins move, fuse, and communicate rapidly.