```html

Reflection Defined

Reflection

Reflection is the return of light from a smooth surface; incident and reflected rays form equal angles with the normal.

```

Refraction Defined

Refraction

In physics, refraction is the bending of light when it passes between transparent media where its speed changes.

Light slows in denser media and bends toward the normal; speeding up makes it bend away.

```html

Ray Through Glass Slab

Incident, refracted and emergent rays with lateral displacement

Incident, refracted and emergent rays with lateral displacement

Diagram Analysis

The ray bends towards the normal on entering the slab and away on leaving it. The emergent ray is parallel to the incident ray but shifted sideways—this shift is called lateral displacement.

Key Points:

  • Incident ray – the incoming light striking the first face.
  • Refracted ray – bends inside the glass slab due to refraction.
  • Emergent ray – leaves the second face, parallel to the incident.
  • Lateral displacement – sideways shift between incident and emergent rays.
```

Snell’s Law

\[ n_{21} = \frac{\sin i}{\sin r} \]

Variable Definitions

\( n_{21} \) Refractive index of medium 2 w.r.t. medium 1
\( i \) Angle of incidence
\( r \) Angle of refraction

Applications

Lens & Mirror Design

Curvature is chosen so required \(i\) and \(r\) focus light precisely.

Optical Fibres

Maintains total internal reflection by controlling core–cladding indices.

Measuring Light Speed

Calculate \(v=\frac{c}{n}\) for glass, water, etc., using observed \(i\) and \(r\).

Source: NCERT Class 10 Science – Chapter “Light: Reflection & Refraction”

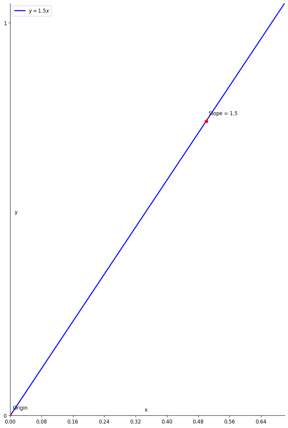
Graph: sin i vs sin r

https://asset.sparkl.ac/pb/sparkl-vector-images/img_ncert/xvgwQHKxOFSd12p7fuLtE0CyFK0tlVTs0n9FRzEs.png

What does the straight line tell us?

Plotting experimental data for many angle pairs gives one straight line through the origin.

Its slope \( m = \frac{\sin i}{\sin r} \) is identical for all points, revealing the refractive index.

Key Points:

  • Straight line = strong graphical evidence for Snell’s law.
  • Constant slope shows the ratio \( \sin i : \sin r \) never changes.
  • That constant is the refractive index \( n \) of the second medium.

Two Laws of Reflection

Let’s unpack the two rules step by step and master their geometry.

1

Law 1: Same Plane

Incident ray, reflected ray and the normal share one plane—linking mirror geometry with every beam.

2

Law 2: \( \angle i = \angle r \)

Measure each angle from the normal. Equality lets you trace paths and predict images precisely.

Pro Tip:

Always draw the normal first; all geometry and angle checks depend on it.

Reflection vs Refraction

Reflection

Light ray bounces back into the original medium.
Law: angle of incidence = angle of reflection.
Image in a plane mirror is virtual and laterally inverted.
No change in light’s speed or wavelength.

Refraction

Light ray bends when it enters a different medium.
Law: Snell’s law \(n_1\sin i = n_2\sin r\).
Explains lenses, apparent depth and mirages.
Speed and wavelength change; frequency stays constant.

Key Similarities

Both occur at a boundary between two media.
Each follows precise mathematical laws, enabling prediction.
Ray path is reversible in both phenomena.

Multiple Choice Question

Question

A light ray moves from glass (n = 1.5) into air (n = 1.0). Which statement is correct?

A
It bends toward the normal.
B
Angle of refraction < angle of incidence.
C
It may undergo total internal reflection.
D
Speed of light decreases.

Hint:

Think about how a ray behaves when it leaves a denser medium for a rarer one.

Key Takeaways

Law of Reflection

Angle of incidence equals angle of reflection, measured from the normal.

Snell’s Law

Refraction obeys \( n_1\sin i = n_2\sin r \), linking angles to refractive indices.

Refractive Index

Higher index means light slows down more and bends toward the normal.

Image Formation

Mirrors and lenses create real or virtual images depending on shape and object distance.

Total Internal Reflection

When incidence exceeds the critical angle, light reflects completely—used in fiber optics.